MoMiNE-Projekt erfolgreich abgeschlossen
Neben Emissionssenkung und Effizienzsteigerung in der Milcherzeugung steht allem voran die möglichst genaue Schätzung bzw. Messung tatsächlicher Nährstoffflüsse. Vor diesem Hintergrund wurde das BLE-Verbundprojekt „MoMiNE“ (Modellierung der N-Ausscheidung von Milchrindern zur Verbesserung der Nationalen Emissionsinventare und der einzelbetrieblichen Einschätzung) initiiert.
Unter der Koordination des Thünen-Instituts für Agrarklimaschutz in Braunschweig und in Zusammenarbeit mit den Projektpartnern des Friedrich-Löffler-Instituts in Braunschweig, der Bayerischen Landesanstalt für Landwirtschaft in Grub und der Landesforschungsanstalt für Landwirtschaft und Fischerei Mecklenburg-Vorpommern in Dummerstorf sollte die bisher in Anwendung befindliche Schätzgleichung zur N-Ausscheidung von Milchkühen, die auf über 20 Jahre alten Daten aus den Niederlanden beruht, aktualisiert werden. Ziel war es weiterhin, die neue Schätzgleichung allein auf Grundlage von Milchkontrolldaten zu modellieren, da diese Daten flächendeckend und repräsentativ für ganz Deutschland zur Verfügung stehen.
Bei den Milchinhaltsstoffen ist besonders der Milchharnstoffgehalt hervorzuheben, da dieser als Bewertungskriterium zur Beurteilung der synchronen und bedarfsgerechten Versorgung der Kühe mit Energie und Protein dient und gleichzeitig eine starke Korrelation mit dem über den Harn ausgeschiedenen Stickstoff aufweist. Die Höhe des Milchharnstoffgehaltes wird durch eine Vielzahl von Faktoren beeinflusst. Ob zu diesen Faktoren auch gesundheitliche Aspekte zählen und welche Auswirkungen das auf die Nutzung des Harnstoffgehaltes in der Schätzgleichung haben könnte, wurde außerdem im Projekt untersucht.
Es ist möglich, die Saldierung der Stickstoffausscheidungen bei Milchkühen rechnerisch zu ermitteln, wenn die Voraussetzung der Kenntnis der Rohproteinversorgung der Tiere erfüllt ist. Die betriebseigene Grobfutterproduktion, die in der Milcherzeugung vorherrscht, macht ein flächendeckendes Monitoring der Milchkuhfütterung bisher aber schwierig. Um zu evaluieren, wie sich die Einflussfaktoren auf die N-Ausscheidungen der Milchkühe in Deutschland seit 2005 entwickelt haben, wurden einerseits die Entwicklung von Milchleistung und -inhaltsstoffen unter Berücksichtigung der Rasse und andererseits die Entwicklung von Mengen und Qualitäten der wichtigsten Grobfuttermittel Gras- und Maissilagen in Kombination mit der konkreten Rationsgestaltung im Zeitverlauf an dokumentierten Milchkuhrationen ausgewertet.
Weiterhin machten Erhebungen zur Energie- und Nährstoffaufnahme in den einzelnen Fütterungsgruppen zweier Praxisbetriebe aus MV in Kombination mit täglichen Milchmengenmessungen und monatlichen Milchkontrolldaten die Validierung der im Projekt modellierten Schätzgleichung zur Gesamt-N-Ausscheidung der Milchkühe möglich.
Einfluss der Tiergesundheit auf den Milchharnstoffgehalt
Die Produktion von mikrobiellem Protein im Pansen ist abhängig von der synchronen Bereitstellung von Energie und Stickstoff. Bei fehlender Energie entsteht zu viel überschüssiger Ammoniak, der in der Leber zu Harnstoff entgiftet und dann in Form von Harnstoff über Milch und Urin ausgeschieden wird. Zur Beurteilung der Stoffwechselgesundheit wurde der Fett-Eiweiß-Quotient herangezogen, da dieser eine milchmengenunabhängige Einschätzung des Energiesaldos zulässt. Bei Tieren mit starkem Energiemangel (FEQ > 1,6) war der Milchharnstoffgehalt niedriger, als bei bedarfsgerecht versorgten Tieren (FEQ 1 – 1,4).
Hinsichtlich des Einflusses der Eutergesundheit auf den Milchharnstoffgehalt zeigte sich ein leichter Rückgang des Milchharnstoffgehaltes (ca. 10 mg/l) in der Gruppe mit Zellzahlen > 400.000 Zellen/ml Milch im Vergleich zu den Gruppen unter 400.000 Zellen/ml Milch.
Die genannten Ergebnisse führen zu der Vermutung, dass der negative Einfluss auf den Milchharnstoffgehalt einer Eutererkrankung vor allem dann vorliegt, wenn sich das Tier in einer akuten Infektionsphase mit Immunantwort befindet und dadurch einen erhöhten Bedarf an z. B. Akut-Phase-Proteinen hat. Dank des Testherdennetzes der RinderAllianz GmbH war es möglich, Milchkontrollanalysen eines Datensatzes ihren tatsächlichen Mastitis-Diagnosen (basierend auf einer BU) zuzuordnen. Alle zwischen 5 Tage vor und nach der Milchkontrolle gestellten Diagnosen wurden berücksichtigt (n=2.085). Der statistische Vergleich der Milchharnstoffgehalte zwischen den Tieren mit und ohne Mastitis-Diagnose stellte auch hier eine signifikante Absenkung im Falle einer Euterinfektion fest.
Eine ausführliche Darstellung der Ergebnisse kann im Journal of Dairy Science nachgelesen werden https://doi.org/10.3168/jds.2024-25492.
Milcherzeugung und Milchkuhfütterung seit 2005 in Deutschland
Die Entwicklung der deutschen Milcherzeugung und -fütterung wurde auf der Grundlage der Daten von 9,7 Mio. Milchkontrollergebnissen auf Betriebsebene in Kombination mit 719 Jahresmittelwerten (basierend auf > 700.000 Einzelproben) der Nährstoffanalysen von Gras- und Maissilagen jeweils aus den Jahren 2005 bis 2022 aus allen deutschen Bundesländern und 4.112 Milchkuhrationen aus den Jahren 2005 bis 2023, die auf Basis betriebseigener Grobfuttermittel kalkuliert wurden und sich in 7 Fütterungsgruppen aufteilen, ausgewertet.
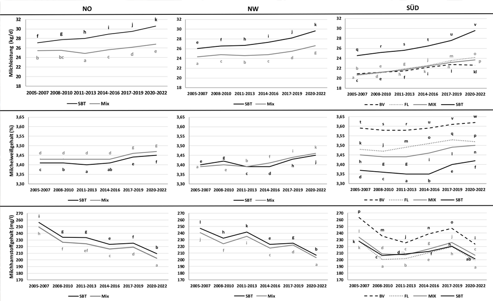
Abbildung 1: Least Square Means und Standardfehler der Variablen Milchleistung, Milcheiweißgehalt und Milchharnstoffgehalt im Verlauf der Jahresgruppen und im Vergleich der wichtigsten Rassen je Region (Holstein-Schwarzbunt (SBT), Holstein-Rotbunt (RBT), Braunvieh (BV), Fleckvieh (FL) und Mischherden (MIX)) (Werte mit gleichen Buchstaben sind nicht signifikant unterschiedlich bei Signifikanzniveau α = 0,05)

Die Auswertungen zeigen, dass bei steigenden Milchleistungen und Milcheiweißgehalten die Gehalte an Milchharnstoff im Zeitverlauf deutlich gefallen sind (Abb. 1). Dies gilt für alle betrachteten Rassen und belegt einerseits den Zuchtfortschritt und ist andererseits ein Indikator dafür, dass die Ausgestaltung von Futter und Fütterung im Hinblick auf eine bessere N-Effizienz angepasst wurde. In der betrieblichen Grobfuttererzeugung zeigen sich relativ niedrige Ernteerträge mit sinkender Tendenz bei der Grassilage und parallel verlaufende, aber stark schwankende Ernteerträge bei der Maissilage mit offensichtlichen Zusammenhängen zu den sich verändernden klimatischen Bedingungen und der Anpassung der Maßgaben zur Düngung. Sowohl bei den Gras- als auch Maissilagen zeigen sich tendenziell sinkende Rohproteingehalte, die einerseits auf eine Reduktion der N-Überschüsse in der Düngung schließen lassen, aber auch den Einfluss zunehmender klimatischer Herausforderungen auf die Grobfuttererzeugung sichtbar machen.
Die Auswertung der Milchkuhrationen zeigte einen zunehmenden Einsatz von Konzentratfuttermitteln in den Rationen bei gleichzeitiger Verringerung der Anteile von Maissilage. Außerdem fand eine tendenzielle Absenkung des Rohproteingehaltes in den Rationen von melkenden Kühen statt, während die Rohproteinaufnahme derselben Fütterungsgruppen leicht angestiegen ist.
Für alle verfügbaren Daten aus den Jahren seit 2005 wurden Jahresmittelwerte berechnet und mit Hilfe von linearen Regressionen Wachstumskoeffizienten abgeleitet, die in der Tabelle 1 dargestellt sind.
Tabelle 1: Wachstumskoeffizienten pro Jahr der untersuchten Variablen als Mittelwerte für ganz Deutschland und deren Entwicklung in 20 Jahren, ausgehend vom Jahr 2005

Die Milchleistung aus den Rationen mit 2,14 % jährlichem Wachstum ist fast doppelt so stark angestiegen wie die Trockenmasseaufnahme mit 1,40 % (Tab. 1). Es wurde also mehr Milchleistungssteigerung erreicht, als allein durch die Futteraufnahme erklärbar ist. Die Erhöhung der Konzentratfuttermenge in Kombination mit dem Zuchtfortschritt und verbessertem Management sind wahrscheinlich die wichtigsten Einflussfaktoren. Weiterhin ist die CP-Aufnahme mit 1,21 % Jahreswachstum weniger stark angestiegen als die Trockenmasseaufnahme. Es wurde also mehr Milch mit im Verhältnis weniger Rohproteininput produziert, was der Beweis für eine Effizienzsteigerung in der Rohproteinversorgung ist. Darüber hinaus ist auch der Milcheiweißgehalt leicht angestiegen. Demzufolge ist auch die Nutzung des eingesetzten Stickstoffs besser geworden, da im Verhältnis weniger N-Einsatz mit dem Futter zu insgesamt höheren N-Ertragsleistungen aus der Milch geführt hat. Eine bessere Ausnutzung der N-Versorgung führt automatisch zu geringeren N-Ausscheidungen und einer höheren N-Effizienz, die sich in der Reduzierung des Milchharnstoffgehalts um 29 mg/l zeigt.
Aus den Rationsdaten kann dies nur teilweise belegt werden, da die darin geplanten Milchleistungen nicht repräsentativ sind. Um hier die Informationslage zu verbessern, ist eine flächendeckende Digitalisierung der berechneten Rationen und aufgewendeten Futtermengen für eine übergreifende Auswertung wünschenswert.
Eine ausführliche Darstellung der Entwicklung der Rohproteineffizienz deutscher Milchkuhbetriebe wird zeitnah in der Züchtungskunde publiziert.
Betriebsindividuelle Validierung
Die Ergebnisse der Validierung anhand von einzelnen Betriebsdaten zeigen, dass die Schätzgüte der neuen Schätzgleichung nach Honig et al. (2024) maßgeblich von der Fütterungsgruppe und der Strategie der Proteinfütterung des Betriebes abhängig ist. Die Modellierung wurde auf Basis von Daten aus deutschen Versuchsstationen durchgeführt, wo die Milchharnstoffgehalte mit der Referenzmethode bestimmt wurden. Sowohl eine von den Versuchsstationen abweichende Fütterung als auch die Analyse des Milchharnstoffgehaltes mit der MIRS-Methode verursachen eine systematische Über- oder Unterschätzung der N-Ausscheidungen des jeweiligen Betriebes. Der Anwendungsbereich der neuen Schätzgleichung beschränkt sich auf Betriebs- bzw. Landkreisebene und ist nicht für die Bewertung einzelner Fütterungsgruppen geeignet, kann aber durchaus genutzt werden, um die N-Ausscheidungen anhand von Betriebsjahresmittelwerten einzuordnen, solange keine Kenntnis der mittleren Rohproteinaufnahme der Herde vorliegt.
FAZIT
Die Ergebnisse der Modellvalidierung zeigen eine grundsätzliche Übereinstimmung der anhand der neuen Schätzgleichung (Honig et al., 2024) ermittelten N-Ausscheidung mit den anhand historischer Milch- und Futterdaten berechneten Werten zur N-Ausscheidung. Dies trifft auch auf die Validierung mit Einzelbetrieben zu. Die betriebsindividuelle Fütterungsstrategie hinsichtlich der Proteinversorgung verursacht einen Schätzfehler von ca. 10 % bei der Nutzung von Betriebsjahresmittelwerten. Eine Vorhersage der N-Ausscheidung auf Fütterungsgruppenebene ist nicht mit ausreichender Genauigkeit möglich. Bei Kenntnis der Rohproteinaufnahme können betriebsindividuelle Werte zur N-Ausscheidung rechnerisch ermittelt werden.
Die Ergebnisse der Auswertungen zu den Gesundheitseinflüssen auf den Milchharnstoffgehalt haben gezeigt, dass dieser durch das Vorliegen einer akuten Immunreaktion, wie z.B. einer Euterentzündung negativ beeinflusst wird. Dies sollte bei der Nutzung des Milchharnstoffgehaltes als Schätzparameter zur Vorhersage der N-Ausscheidung beachtet werden. Weiterhin spielt der Milchharnstoffgehalt eine wichtige Rolle bei der Evaluierung der bedarfsgerechten Energie- und Proteinversorgung einer Herde oder Fütterungsgruppe. Die Einhaltung der Grenzwerte des Milchharnstoffgehaltes von 150 bis 250 mg/l trägt wesentlich zur optimalen Nährstoffversorgung und damit auch Gesunderhaltung der Milchkuhherde bei.
Eine optimale Rohproteinversorgung von Milchkühen, die sich so genau wie möglich am Bedarf der Tiere ausrichtet, gewährleistet die Erhaltung von Gesundheit und Leistungsfähigkeit der Milchkühe bei gleichzeitiger Reduzierung von Nährstoffüberschüssen und damit umweltrelevanten N-Ausscheidungen. Die Steigerung der N-Effizienz in der deutschen Milchkuhhaltung, einerseits durch eine Steigerung der produzierten N-Mengen mit der Milch und anderseits durch die gleichzeitige Optimierung der Rohproteinversorgung, konnte durch die vorliegenden Auswertungen bewiesen werden.


